Mdr Tb Full Form
Xdr Tb
Treatment Outcomes Of Multidrug Resistant Tuberculosis Patients In Zhejiang China 09 13 Clinical Microbiology And Infection
Multidrug Resistant Tuberculosis Surveillance And Cascade Of Care In Madagascar A Five Year 12 17 Retrospective Study Bmc Medicine Full Text
Predictors Of Poor Treatment Outcomes In Multidrug Resistant Tuberculosis Patients A Retrospective Cohort Study Clinical Microbiology And Infection
Antimicrobial Resistance Tb Alliance
Multi Drug Resistant Tb Harder To Spread Among Close Contacts Voice Of America English
Fda Approves New Treatment For Highly Drug Resistant Forms Of Tuberculosis Tb Alliance
Management Of Patients With Multidrug Resistant Extensively Drug Resistant Tuberculosis In Europe A Tbnet Consensus Statement European Respiratory Society
Few Eligible For The Newly Recommended Short Course Mdr Tb Regimen At A Large Mumbai Private Clinic Bmc Infectious Diseases Full Text
Hiv Infection Does Not Compromise Multidrug Resistant Tb Treatment Outcomes In Botswana Aidsmap
Interim Treatment Outcomes In Multidrug Resistant Tuberculosis Using Bedaquiline And Or Delamanid In South Korea Respiratory Medicine
Multidrug Resistant Tuberculosis A Pharmacological View Based On Revised National Tuberculosis Control Programme Dots Plus Guidelines Semantic Scholar
Multidrug Resistant Tuberculosis
Provider Perspectives Of The Introduction And Implementation Of Care For Drug Resistant Tuberculosis Patients In District Level Facilities In South Africa A Qualitative Study Bmj Open
Exploring The Threat Of Mdr Tb In The United States Contagion Live
Global Burden Of Latent Multidrug Resistant Tuberculosis Trends And Estimates Based On Mathematical Modelling The Lancet Infectious Diseases
Cdc Global Health Infographics Drug Resistant Tb Worldwide
2
Management Of Drug Resistant Tuberculosis In Special Sub Populations Including Those With Hiv Co Infection Pregnancy Diabetes Organ Specific Dysfunction And In The Critically Ill Esmail Journal Of Thoracic Disease
Managing Mdr Tb In The Community From Presentation To Cure Or End Of Life Care Aidsmap
Abbreviations Crf Case Report Form Mdr Tb Multidrug Resistant Download Scientific Diagram
Figure Limited Scope Of Shorter Drug Regimen For Mdr Tb Caused By High Resistance To Fluoroquinolone Volume 25 Number 9 September 19 Emerging Infectious Diseases Journal Cdc
Molecular Characterisation Of Multidrug Resistant Mycobacterium Tuberculosis Isolates From A High Burden Tuberculosis State In Brazil
Prediction Of Treatment Outcomes For Multidrug Resistant Tuberculosis By Whole Genome Sequencing International Journal Of Infectious Diseases
Report Warns Of Rise In Drug Resistant Tuberculosis Cidrap
Q Tbn And9gct3bn Poajlm6oc1nrgobpoq4cta53ya2gk05lgrkq86lgvnyft Usqp Cau
Pyridines Multidrug Resistant Tuberculosis Mdr Tb Inhibitors Sciencedirect
New Diagnostic Tools Help People With Mdr Tb Get Treatment Voice Of America English
Management Of Multidrug Resistant Tuberculosis Update 07 Yew 08 Respirology Wiley Online Library
Estimating The Future Burden Of Multidrug Resistant And Extensively Drug Resistant Tuberculosis In India The Philippines Russia And South Africa A Mathematical Modelling Study The Lancet Infectious Diseases
Www Who Int Tb Xdr Faq En Pdf
Www Europeanlung Org En Assets Files En Publications Mdr Tb En Pdf
Who Recommends Shorter Drug Regimen For Multi Drug Resistant Tb Tuberculosis The Guardian
Multidrug Resistant Tuberculosis Mdr Tb A Real Challenge For Doctors
Q Tbn And9gcqw Phl3ylarxpjmlvt5e3ddrck0bwto9m03n7o0rj3h9s Eed2 Usqp Cau
Comorbidities And Treatment Outcomes In Multidrug Resistant Tuberculosis A Systematic Review And Meta Analysis Scientific Reports
Http Www Stoptb Org Assets Documents News China food and drug administration approves sirturo Pdf
Multidrug Resistant Tuberculosis Treatment Failure Detection Depends On Monitoring Interval And Microbiological Method European Respiratory Society
Tropicalmed Free Full Text Contact Investigation Of Multidrug Resistant Tuberculosis Patients A Mixed Methods Study From Myanmar Html
Resistance Patterns Among Multidrug Resistant Tuberculosis Patients In Greater Metropolitan Mumbai Trends Over Time
Radiological Signs Associated With Pulmonary Multi Drug Resistant Tuberculosis An Analysis Of Published Evidences Wang Quantitative Imaging In Medicine And Surgery
National Survey Of Drug Resistant Tuberculosis In China Nejm
Drug Resistance In Mycobacterium Tuberculosis Where We Stand Medchemcomm Rsc Publishing
Multidrug Resistant Tuberculosis
A New Era For Treatment Of Drug Resistant Tuberculosis European Respiratory Society
Pdf Assessment Of Multidrug Resistant Tuberculosis Mdr Tb Treatment Outcomes In Sudan Findings And Implications
Tuberculosis Drugs And Mechanisms Of Action Nih National Institute Of Allergy And Infectious Diseases
The Dangers Of Drug Resistant Tuberculosis What You Need To Know Abc News
Shorter Better Treatments For Multidrug Resistant Tuberculosis Unitaid
Tuberculosis Management Wikipedia
Drug Resistant Tb Tb Cdc
Multidrug Resistant Tuberculosis Wikipedia
Mumbai No Of Patients Stricken By Severest Form Of Tb Dips Mumbai News Times Of India
Pdf Management Of Patients With Multidrug Resistant Tuberculosis
Www Mdpi Com 2414 6366 5 3 109 Pdf
Fight Against Drug Resistant Tb Set To Go Up Another Notch Pune News Times Of India
Drug Resistant Tuberculosis What Is The Situation What Are The Needs To Roll It Back Amr Control
Factors Associated With Treatment Outcome In 64 Hiv Negative Patients With Multidrug Resistant Tuberculosis Unsal Journal Of Thoracic Disease
Mdr Tb Treatment As Prevention The Projected Population Level Impact Of Expanded Treatment For Multidrug Resistant Tuberculosis
Eligibility For Shorter Treatment Of Multidrug Resistant Tuberculosis In The European Union European Respiratory Society
Mdr Tb A Global Public Health Crisis
Tuberculosis Wikipedia
Review On Emergence Of Drug Resistant Tuberculosis Mdr Xdr Tb And Its Molecular Diagnosis In Ethiopia Sciencedirect
Transmission Of Extensively Drug Resistant Tuberculosis In South Africa Nejm
Newest Mdr Tb Drug Prices Could Fall By Up To 95 Through Generic Production Aidsmap
Frontiers Molecular Targets Related Drug Resistance Mechanisms In Mdr Xdr And Tdr Mycobacterium Tuberculosis Strains Cellular And Infection Microbiology
In A Groundbreaking Development Recently The United States Fda Approved A Three Drug Regimen Against The Most Lethal Form Of Multi Drug Resistant Tuberculosis Known As The Xdr Strain
Detecting Drug Resistant Tuberculosis In Chest Radiographs Springerlink
Plos One Provider Reported Barriers And Solutions To Improve Testing Among Tuberculosis Patients Eligible For Drug Susceptibility Test A Qualitative Study From Programmatic Setting In India
Intermittent Treatment Interruption And Its Effect On Multidrug Resistant Tuberculosis Treatment Outcome In Ethiopia Scientific Reports
Full Text Rapid Diagnosis Of Multidrug Resistant Tuberculosis Impacts Expenditur Idr
Improving Treatment Outcomes For Mdr Tb Novel Host Directed Therapies And Personalised Medicine Of The Future International Journal Of Infectious Diseases
Management Of Drug Resistant Tuberculosis The Lancet
Mortality Among Mdr Tb Cases Comparison With Drug Susceptible Tuberculosis And Associated Factors
Drug Resistant Tuberculosis What Is The Situation What Are The Needs To Roll It Back Amr Control
Extensively Drug Resistant Tuberculosis Wikipedia
X Mdr Tuberculosis
Epidemiology Of Multi Drug Resistant Tuberculosis In Northern India Kumar A Singh Ak Upadhyay V Pandey J Biomed Biotechnol Res J
Mdr Tb Xdr Tb Ppt
Early Bactericidal Activity Of High Dose Isoniazid For Drug Resistant Tb Infectious Disease Advisor
Pdf High Prevalence Of Multi Drug Resistant Tuberculosis In People Living With Hiv In Western India
1
A Trial Of A Shorter Regimen For Rifampin Resistant Tuberculosis Nejm
The Causes Of Multi Drug Resistant Tuberculosis Borgen
Who Drug Resistant Tb Global Situation
Drug Resistant Tuberculosis Challenges And Opportunities For Diagnosis And Treatment Sciencedirect
Multidrug Resistant Tuberculosis Outbreak Singapore 12 Miphidic
Madhu Pai Md Phd Nice Graphic On The Various Forms Of Drug Resistant Tuberculosis Source T Co Weniru8ba1
Full Text Rapid Diagnosis Of Multidrug Resistant Tuberculosis Impacts Expenditur Idr
Tb Online Fda Approves Pretomanid For Highly Drug Resistant Forms Of Tb
Outbreak Of Multidrug Resistant Tuberculosis In South Africa Undetected By Who Endorsed Commercial Tests An Observational Study The Lancet Infectious Diseases
Short Drug Resistant Tb Regimen Could Cut Treatment Time By More Than Half
Multidrug Resistant Tuberculosis Mdr Tb Disease Burden In China A Systematic Review And Spatio Temporal Analysis Bmc Infectious Diseases Full Text
Prevalence And Molecular Characterization Of Multidrug Resistant M Tuberculosis In Jiangxi Province China Scientific Reports
White House Unveils Plan For Battling Mdr Tb Cidrap
Prevalence Associated Factors Outcomes And Transmission Of Extensively Drug Resistant Tuberculosis Among Multidrug Resistant Tuberculosis Patients In Sao Paulo Brazil A Cross Sectional Study Clinical Microbiology And Infection
Improved Treatment Outcome Of Multidrug Resistant Tuberculosis With The Use Of A Rapid Molecular Test To Detect Drug Resistance In China International Journal Of Infectious Diseases
Factors Contributing To The High Prevalence Of Multidrug Resistant Tuberculosis A Study From China Thorax
Q Tbn And9gcszzy4xgrl9pb Rekgthaovj7 Aqfvh7fi5cjcnsf 1e Xxycnu Usqp Cau
Multidrug Resistant Tuberculosis What Journalists Need To Know
Mdr Tuberculosis Critical Steps For Prevention And Control Nejm
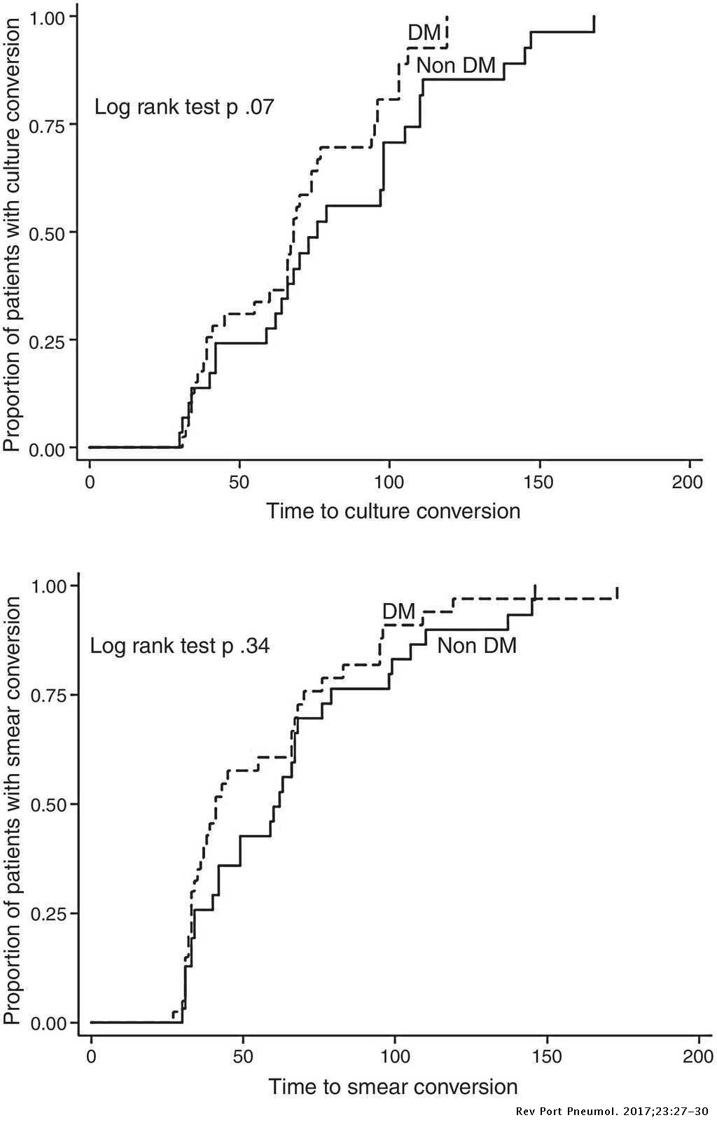
Comparison Of Bacteriological Conversion And Treatment Outcomes Among Mdr Tb Patients With And Without Diabetes In Mexico Preliminary Data Pulmonology
The Tuberculosis Tb Treatment Pipeline
Transmission And Prevalence Of Drug Resistant Tuberculosis In A Brazilian Setting Under A Directly Observed Therapy Short Course Strategy


